Lipids
Your Bio book has intro to lipids starting on page 74. It looks at most of what I cover here.
You must know the classes of lipids, how to spot saturated and unsaturated fatty acids, trans and cis double bonds and know how those things affect the interactions among fatty acids. You must be able to read a “shorthand” structure (applies to proteins and sugars too). You must be able to identify a mono, di or triglyceride (really "mono, di or triacylglyceride). Among diacylglycerides, identify a phospholipid and describe how they form a lipid bilayer. You should know that the fatty acids become attached to glycerol via a dehydration synthesis step, similar to what happens with both peptide bonds and glycosidic link. You must know that the membrane of the cell, the plasma membrane, is made of phospholipids, primarily (it also includes lots of proteins, cholesterol and other stuff). Phospholipids are probably the most important class for our purposes. We will talk about them again when we do membranes.
Note, most images below are taken from Wikicommons. The others were constructed with the program “chemdoodle.”
We break lipids into two classes that don’t look a lot alike, but are both hydrophobic. The first are called sterols, which are based on this structure.
There are four carbon rings, three of which have six carbons and one with five. There is hydroxyl at the end. That’s what makes it an alcohol (ol ending).

The most well known of the sterols and most abundant in you is cholesterol, which looks like this:

While you have heard that cholesterol is bad in your diet, it actually is an important molecule you need to live. You make it in your body, as do all animals. In addition to cholesterol, all the steroid hormones are based on the sterol molecule (for example, testosterone and estradiol, which we saw in the essay on structure).
That’s pretty much all you need to know about sterols for now. We will revisit them when we look at hormones.

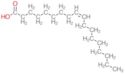
As noted above, those structures are Fatty acids. These are the components of the other class of lipid. They comprise a chain of hydrocarbon with a carboxyl (acid) group at the end. We start counting carbons at the carboxyl group. The one above has 18, as noted.
These terms originally referred to whether a fat could accept more hydrogens into its structure. However, what that means structurally is whether it has any double bonds. Recall that carbon must make four bonds total. At the site of the double bond (carbons 9 and 10) in the middle of those structures above, the two carbons have only one H each. If we break the double bond, we would have to add one more hydrogen atom to each. So, that bond is “unsaturated.” This would be known as a monounsaturated fatty acid. In the popular media, that’s usually shortened, incorrectly, to “monosaturated.”
In contrast, a saturated fatty acid has no double bonds.
Cis and Trans ONLY apply to positions where there are double bonds…that is, unsaturated bonds.
Note that the bottom structure has a big kink in it whereas the other one is fairly straight, like a saturated chain.

That’s because the carbons cannot rotate around the double bond and you therefore have two different ways to arrange the bond: the long carbon chains on the same side (both down in this case) of the double bond. That’s known as “cis” and results in the kink.
Or, the long chain on one side goes “up” and the one on the other goes “down.” That is known as “trans” (opposite directions) and results in a fairly straight molecule.
Trans fatty acids generally are not found in biology. The Cis fatty acids are important because of the kink. The kink keeps the fatty acids from sticking together as well and lowers the melting point of the fat. Plant oils (not from the tropics) tend to have CIS unsaturated bonds and are liquids at room temp. Animal fats and tropical plant fats tend to have saturated fatty acids and be solid.
Trans fats occur almost any time you chemically treat (or even heat) fatty acids with double bonds.
These are all fatty acids attached to glycerol, a three-carbon chain with an OH on each carbon.
The Mono, di and tri refer not to the number of glycerols, but the number of fatty acids stuck to the glycerol. I know…dumb naming scheme.
Once the bond is formed, since an OH is taken off the acid and an H of the hydroxyl, it is no longer a fatty acid (it’s a fatty ester).
The synthesis is another example of dehydration synthesis.

This is a triglyceride, also known as a “Fat.” It’s primarily for storing fatty acids for use in membranes or for energy. In this case, there are three very different fatty acids on the glycerol. You can also see the alternate numbering of the “alpha” and “omega” carbon. But, again, don’t worry about that.
One misleading thing in this structure is that the double bonds are Cis, but the person drawing it has left out the kinks.
These are the main components of the cell membrane, and any membrane within the cell. They allow us to build cells with an outside and an inside, as well as internal compartments, transport vesicles (that weird “bag” the Kinesin molecule was dragging in the movie).
They comprise glycerol with two fatty-ester chains. On the end position of the glycerol, there is a phosphate, which is then in turn connected to some other hydrophilic group (such as the amino acid, serine or the ionic structure, choline). The thing below is phosphatidylcholine:

You see the two fatty acid (ester) chains going to the right and angled to the right. You should see the phosphate.
The key point is this: the part on the left is VERY attracted to water and the fatty acids avoid water at all costs. If you get a bunch of things like this together, they will arrange in the only way that allows each part to be where it wants. They will line up in two layers, fatty acid tails pointing toward each other and lined up alongside, with the hydrophilic part out.
This depiction from Wikipedia
is a good one because it shows how thick the membrane is. It is bad because it doesn’t tell you what comes after the phosphate. Remember, though, I told you that varies all over the place. It just has to be hydrophilic. The completely hydrophobic (dehydrated) area is about 3.5nm thick. A nm (nanometer) is 1/1,000,000 of a millimeter. The membrane is about 35 carbon atoms thick.
Outline
You must know the classes of lipids, how to spot saturated and unsaturated fatty acids, trans and cis double bonds and know how those things affect the interactions among fatty acids. You must be able to read a “shorthand” structure (applies to proteins and sugars too). You must be able to identify a mono, di or triglyceride (really "mono, di or triacylglyceride). Among diacylglycerides, identify a phospholipid and describe how they form a lipid bilayer. You should know that the fatty acids become attached to glycerol via a dehydration synthesis step, similar to what happens with both peptide bonds and glycosidic link. You must know that the membrane of the cell, the plasma membrane, is made of phospholipids, primarily (it also includes lots of proteins, cholesterol and other stuff). Phospholipids are probably the most important class for our purposes. We will talk about them again when we do membranes.
Note, most images below are taken from Wikicommons. The others were constructed with the program “chemdoodle.”
Lipids
We break lipids into two classes that don’t look a lot alike, but are both hydrophobic. The first are called sterols, which are based on this structure.
There are four carbon rings, three of which have six carbons and one with five. There is hydroxyl at the end. That’s what makes it an alcohol (ol ending).

The most well known of the sterols and most abundant in you is cholesterol, which looks like this:

While you have heard that cholesterol is bad in your diet, it actually is an important molecule you need to live. You make it in your body, as do all animals. In addition to cholesterol, all the steroid hormones are based on the sterol molecule (for example, testosterone and estradiol, which we saw in the essay on structure).
That’s pretty much all you need to know about sterols for now. We will revisit them when we look at hormones.

Fatty Acid-based lipids
As noted above, those structures are Fatty acids. These are the components of the other class of lipid. They comprise a chain of hydrocarbon with a carboxyl (acid) group at the end. We start counting carbons at the carboxyl group. The one above has 18, as noted.
Saturated or Unsaturated
These terms originally referred to whether a fat could accept more hydrogens into its structure. However, what that means structurally is whether it has any double bonds. Recall that carbon must make four bonds total. At the site of the double bond (carbons 9 and 10) in the middle of those structures above, the two carbons have only one H each. If we break the double bond, we would have to add one more hydrogen atom to each. So, that bond is “unsaturated.” This would be known as a monounsaturated fatty acid. In the popular media, that’s usually shortened, incorrectly, to “monosaturated.”
In contrast, a saturated fatty acid has no double bonds.
Cis and Trans
Cis and Trans ONLY apply to positions where there are double bonds…that is, unsaturated bonds.
Note that the bottom structure has a big kink in it whereas the other one is fairly straight, like a saturated chain.

That’s because the carbons cannot rotate around the double bond and you therefore have two different ways to arrange the bond: the long carbon chains on the same side (both down in this case) of the double bond. That’s known as “cis” and results in the kink.
Or, the long chain on one side goes “up” and the one on the other goes “down.” That is known as “trans” (opposite directions) and results in a fairly straight molecule.
Trans fatty acids generally are not found in biology. The Cis fatty acids are important because of the kink. The kink keeps the fatty acids from sticking together as well and lowers the melting point of the fat. Plant oils (not from the tropics) tend to have CIS unsaturated bonds and are liquids at room temp. Animal fats and tropical plant fats tend to have saturated fatty acids and be solid.
Trans fats occur almost any time you chemically treat (or even heat) fatty acids with double bonds.
Mono-, Di- and Triglycerides
These are all fatty acids attached to glycerol, a three-carbon chain with an OH on each carbon.
The Mono, di and tri refer not to the number of glycerols, but the number of fatty acids stuck to the glycerol. I know…dumb naming scheme.
Once the bond is formed, since an OH is taken off the acid and an H of the hydroxyl, it is no longer a fatty acid (it’s a fatty ester).
The synthesis is another example of dehydration synthesis.

This is a triglyceride, also known as a “Fat.” It’s primarily for storing fatty acids for use in membranes or for energy. In this case, there are three very different fatty acids on the glycerol. You can also see the alternate numbering of the “alpha” and “omega” carbon. But, again, don’t worry about that.
One misleading thing in this structure is that the double bonds are Cis, but the person drawing it has left out the kinks.
Phospholipids
These are the main components of the cell membrane, and any membrane within the cell. They allow us to build cells with an outside and an inside, as well as internal compartments, transport vesicles (that weird “bag” the Kinesin molecule was dragging in the movie).
They comprise glycerol with two fatty-ester chains. On the end position of the glycerol, there is a phosphate, which is then in turn connected to some other hydrophilic group (such as the amino acid, serine or the ionic structure, choline). The thing below is phosphatidylcholine:

You see the two fatty acid (ester) chains going to the right and angled to the right. You should see the phosphate.
The key point is this: the part on the left is VERY attracted to water and the fatty acids avoid water at all costs. If you get a bunch of things like this together, they will arrange in the only way that allows each part to be where it wants. They will line up in two layers, fatty acid tails pointing toward each other and lined up alongside, with the hydrophilic part out.
This depiction from Wikipedia

is a good one because it shows how thick the membrane is. It is bad because it doesn’t tell you what comes after the phosphate. Remember, though, I told you that varies all over the place. It just has to be hydrophilic. The completely hydrophobic (dehydrated) area is about 3.5nm thick. A nm (nanometer) is 1/1,000,000 of a millimeter. The membrane is about 35 carbon atoms thick.
