Enzyme Cofactors
Cofactors:
Wikipedia defines this as a “non-protein chemical compound that is bound by a protein and is required for the protein’s biological activity.” That’s a pretty good explanation.
When I was your age (have you ever once heard a story you ended up liking that started out like that?), these were called “coenzymes” and a few of them still have that name (Coenzyme A and Coenzyme Q come to mind). But, “cosubstrate” is really a better term for what they do.
They are called “small molecules” because, compared to proteins, they are small. However, some are huge compared to simple molecules you remember from chemistry.
Some Names:
If an enzyme uses a cofactor (most do), the protein part without all the other necessary cofactor(s) is called the “apoezyme.” The form that includes the protein part(s) necessary plus all other cofactors is called the “Holoenzyme.”
ATP and other Nucleotide cofactors
The most common cofactor is ATP, which you think of as a source of free energy. As you know, it is usually used to transfer phosphates onto something else. It is in the category known as “nucleotide cofactors” because, as you should recall from the section on DNA and RNA, the building blocks of RNA and DNA are called nucleotides. ATP is also a building block of RNA.
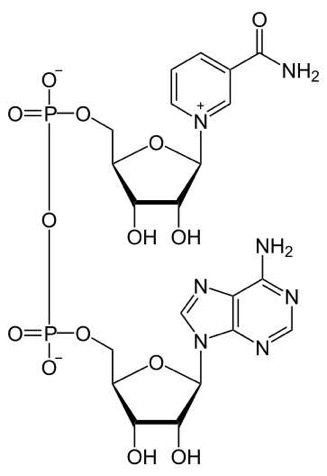
One very common group of cofactors that will be important in the upcoming weeks are those involved in Oxidation/Reduction reactions as either donors or acceptors of electrons. For example, when the enzyme Alcohol Dehydrogenase converts alcohols to aldehydes, it is an oxidation (removal of electrons). Something must take those electrons. The enzyme passes them to a cofactor called NAD+ (it stands for “nicotinamide adenine dinucleotide”). Nicotinamide is niacin (vitamin B3) attached ribose, just like an RNA base. That is then linked to ADP via a 5'-5' diphosphodiester. ADP is the bottom thing, nicotinamide is the top thing.

A cofactor with a very similar role in metabolism is FAD (Flavin adenine dinucleotide). The flavin is on the top. It’s not really a nucleotide...but, whatever. Once again, it’s clearly attached to ADP.

Cofactors are also used to help transfer groups of carbon, carbonyls or carboxyl, amines or other functional groups these are essential for building the complex molecules we need.
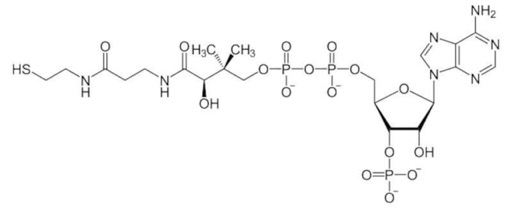
The most common one is Coenzyme A (or Co-A). It looks like this:

Do you recognize ADP again (actually, it’s called ADP-Phosphate because of the phosphate in the 3' position of the ribose). Attached to it is a small peptide-derived portion with an SH on the end (sulfhydryl). If you check the "functional groups" chart I gave you a while back, you will see these are good reversible oxidation/reduction sites. That site accepts the acetyl (two-carbon organic acid) groups. This is important in something called the Citric Acid Cycle we will learn about soon.
Do you see some patterns? Good.
I imagine you are not surprised to see so many of these involving phosphates that are attached where hydroxyls would have been.
