Enantiomers
What the hell is an “enantiomer?”
We had to do it, add one more level of complexity to structure. You are familiar with structural isomers:
These are Fructose on the left and glucose on the right. The “ose” ending denotes sugar. Fructose is in a group called “Ketoses” and glucose is an “Aldose.” Explain why.
They both have exactly the same molecular formula (C6H12O6).
Structural isomers have exactly the same atoms, but differ in how they are connected.
Enantiomers or Chiral variations, a.k.a. Stereochemistry
Given parameters to be specified later, certain molecules can be arranged with exactly the same structural formula, but in mirror images of each other. We make the analogy to the hand. Each of your hands has a thumb and four fingers. All the components are the same, but we cannot super impose your right hand over the left. If you held your right hand up to a mirror, the image would look like your x left hand.
Funny thing about hands: two right hands fit together well for “shaking hands,” but a right and left hand do not. This mirror symmetry gives one more level of three-dimensional structure that is important.
In a flat drawing, such as above, we use the dark triangle to indicate that the bond is coming partially forward out of the screen, while the dashed line triangle means into the screen.
By now I hope I have convinced you that things have to fit together just right to get the biological responses we expect. Think of the Lego example: what if the drive gear were a mirror image of what was needed. All the parts would be there, but on the wrong side of the axle to do the job.

For any carbon atom that is bonded to four different things, there is the potential to arrange it in two mirror images. Here are right-handed and left handed amino acids, for example. Note that the Carbon in the center, the “alpha carbon,” is bonded to an H, an NH2, a carboxyl carbon and the “R” chain of the amino acid. Even though the “R” chain probably begins with a carbon, it is not the same as the carboxyl carbon. I can look at the structure and see the difference: “The R chain is over there and the Carboxyl is over here.” Such a carbon, bonded to 4 distinct things is called a chiral carbon and can come in two different arrangements. Only glycine has not chiral center (“R” for glycine is just a hydrogen). With respect to the alpha carbon, we call them “D” and “L.” Only “L” amino acids are used in proteins.
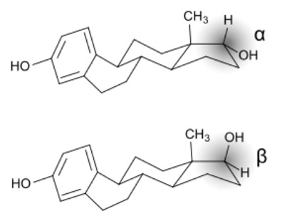
Below are two forms of estrogen (more properly, “Estradiol”). Recall that it has two hydroxyls (now you know why its called estradiol). The hydroxyl on the right is attached to a chiral carbon (called carbon 17). Is the other hydroxyl attached to a chiral carbon?

Position 17 can be either in the alpha or beta form. The beta form is the functional form of estradiol. The alpha form has no estrogen-like activity at all. Zero. None. Actually, it’s used to prevent hair loss in both men and women. I’ll explain later how that works…but, maybe you have an idea already?
Refer back to the “Why Structure is Important” handout and explain why the alpha form cannot induce the estrogen response. Explain in as much detail as you can.
